徠卡機器人全站儀助力三等水準測量
一、前言
目前高程測量方法一般分為幾何水準測量、GPS水準測量和三角高程測量三大類。采用傳統水準的方法測定點與點之間的高差,所得到的地面點高程精度較高,普遍用于建立國家高程控制點及測定高等級地形控制點的高程。對于地面高低起伏較大的地區,采用這種方法測定地面點的高程進程緩慢,有時甚至非常困難。

精密三角高程測量在丘陵地、山地、高山地區相比常規水準測量,因架站少、架站自由、靈活、快速,不需要量測儀器、棱鏡高,傳遞高程優勢顯著,能大大降低外業勞動強度,但受限于全站儀的硬件性能,此前一直未能在生產中實際應用;徠卡測量機器人的出現,打破了三角高程測量不能代替高精度水準測量的束縛,徠卡自動全站儀多測回自動觀測、自動識別限差,給野外測量帶來很大的便利,尤其夜間觀測成果更佳。
二、精密三角高程測量技術的可行性研究

作業流程:
檢測棱鏡互差,并檢核棱鏡的加裝是否符合要求,同時還要對全站儀進行組合檢校;
在起點布設棱鏡桿,在距離起點較近的一點(轉點1),布設主站;
主站在轉點1依次觀測棱鏡桿低棱鏡(①)和棱鏡桿高棱鏡(②);
主站不動,在轉點2架設輔站。依次進行如下觀測:后測站觀測低棱鏡(③)、前測站觀測低棱鏡(④)、前測站觀測高棱鏡(⑤)、后測站觀測高棱鏡(⑥);
主站換站至轉點3,輔站不動。依次進行如下觀測:后測站觀測低棱鏡(⑦)、前測站觀測低棱鏡(⑧)、前測站觀測高棱鏡(⑨)、后測站觀測高棱鏡(⑩);
輔站換站,依次循環進行高程的傳遞至接近末點處;
在最后的轉站,主站依次觀測末點高低棱鏡。
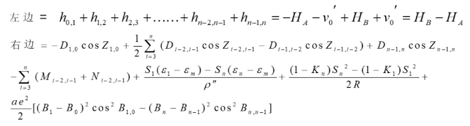
數據模型:

限差

三、項目驗證
為了驗證精密三角高程測量的精度, 內蒙古自治區測繪院使用徠卡TCRA1201全站儀、徠卡TS30全站儀及徠卡TS60全站儀等檢測了很多段用數字電子水準儀測得二等水準路線。其結果如表所示, 精密三角高程測量是完全可以達到二等水準測量的要求。

四、經驗積累、廣泛應用
自2010年5月以來,內蒙古自治區測繪院在呼和浩特、包頭、鄂爾多斯、巴彥淖爾市、烏蘭察布市、赤峰市已成功的使用徠卡自動全站儀精密三角高程測量代替二等水準測量1700多千米;在烏蘭察布市、呼倫貝爾市、興安盟、赤峰市等地方成功的使用徠卡自動全站儀精密三角高程測量代替三等水準測量4000多千米。

經過數年的研究,不同時間,不同區域,所測得的數據基本都能滿足國家二等水準測量規范的要求。徠卡自動全站儀搭配三角高程測量軟件、計算軟件和正確的測量方法,達到了目的和效果。同時我們也積累了諸多的外業經驗:
盡可能使用無伸縮腳架觀測,測段起、末水準點上,對中桿要放穩,保持高度不。
對向觀測時,如一站觀測時間過長,應重測對向觀測。
白天平均氣溫超過26℃時,在保障安全的作業前提下,最好在夜間作業,提前踏勘、選定觀測路線和測站點,更能顯著提高作業效率。
白天作業視線長度不宜超過800米,經過大量測量數據證明500米左右為最佳觀測距離。
白天作業時間遵照水準測量規范上的要求,由于在陽光直射和地面溫度較高,熱氣浪大時大氣折光影響較大。
自動照準觀測,視場內不能有遮擋物在棱鏡前。
視線不能通過煙火上空,觀測目標背后不能有大面積反光地物(蔬菜大棚),大面積水域。
在ATR自動照準時盡量避免陽光直射,由于正對太陽時,在自動照準光路中會有噪聲,從而影響自動照準的精度。

五、總結
傳統二、三等水準在山地、高山的測量中,需要耗費大量的人力、物力和財力,且效率極低。以傳統水準測量為例,在山地連測二、三等水準,單程連續觀測前后視距5-10米,一站一站連測,一個組一天連測3-5公里左右,依據財政部、國家測繪局2009 年頒布的《測繪生產成本費用定額》計算,100個水準點需要聯測1000千米。若對這些點進行二等水準觀測,100個水準點觀測的費用為207萬元,一個組5人需要400天完成。而同樣任務利用徠卡自動全站儀精密三角高程聯測二等水準,一個組一天聯測8-10公里左右,200天以內就可以完成1000千米的水準測量,節省大量的人力、物力。應用徠卡自動全站儀精密三角高程代替二、三等水準測量在困難地區聯測,可產生巨大的經濟效益。
徠卡自動全站儀精密三角高程測量具有傳遞高程靈活、方便、受地形條件限制較少等優點,徠卡測量機器人超高的測角測距精度,為精密三角高程測量提供了硬件保障,目前徠卡自動全站儀精密三角高程測量在大地測量、工程測量中得到了廣泛的應用。
更多相關
千尋CORS與華測CORS區別解析
千尋CORS與華測CORS是國內兩大主流衛星導航定位服務系統,均基于GNSS(全球導航衛星系統)技術提供高精度實時定位服務,但在運營主體、服務范圍、技術特點及行...
徠卡MS60全站掃描儀在輕軌高架梁體檢測中的應用
中鐵蕪湖某制梁場是重要的軌道梁生產基地,專用于生產架設于橋墩上的PC軌道梁。軌道梁生產規格要求控制在與設計值誤差不大于3mm,軌道直線段的梁體一般為規則的長方體,檢測起來比較容易;但在緩和曲線和圓...
單北斗時代即將來臨!
從“單GPS”到“單北斗”,衛星導航行業有了新要求沙場上,三軍列陣接受著最高統帥檢閱,可以做到分毫不差;南海上,世代生活在這里的漁民無論到哪塊海域、哪個島礁都不擔心迷失方向;汶川地震時,突破死亡線趕到...
全站儀到底是檢定還是校準?看完你就知道了
一、全站儀檢定與全站儀校準的術語定義根據JJF1001-2011《通用計量術語及定義》,全站儀檢定是法定計量技術機構依據檢定規程對測量儀器進行的強制性全面評價,判定其是否滿足法定要求(如合格證書、檢...
千尋移動華測CORS賬號的覆蓋范圍查詢入口匯總
我們在項目工地用RTK賬號作業時,不確定您的地址CORS賬號服務是否覆蓋?CORS賬號服務通常涉及到實時或連續的高精度定位服務,這類服務往往用于在特定地理區域內進行高精度的定位、導航和測量工作。COR...
千尋知寸CORS與中國移動CORS有何區別
CORS是一種提供高精度定位服務的基礎設施,廣泛應用于測繪、自動駕駛、無人機、智慧城市等領域。國內主要的CORS服務商包括千尋知寸CORS(千尋位置)和中國移動CORS,兩者在技術架構、覆蓋范圍、服務...
使用全站儀的10大常見問題及解決方法
全站儀作為測量儀器,使用過程中可能會遇到一些常見的問題。南京環球測繪為您詳解使用全站儀時可能出現的十大問題及其解決方法:1.**對中問題**:儀器未能精確對準目標。-解決方法:檢查腳架是否穩定,調...
徠卡RTC360三維激光掃描儀在某石化工廠數字化中的應用
一、背景 石化工廠的安全運維是一項重要工作。但是如果工廠工程資料保存不完整或者太過陳舊,不能反映廠區真實現狀,就難以實現石化工廠的數字化管理。一般使用三維激光掃描儀完成工廠數字化可以獲取廠區的精...











環球測繪微信